Který z dodavatelů elektřiny a plynu získal v roce 2025 nejvíce zákazníků?
Přehrát audio verzi
Který z dodavatelů elektřiny a plynu získal v roce 2025 nejvíce zákazníků?
00:00
00:00
1x
- 0.25x
- 0.5x
- 0.75x
- 1x
- 1.25x
- 1.5x
- 2x
ELYN má nově produkt, který snižuje zákazníkům cenu energií každé čtyři měsíce. Jak dopadl žebříček dodavatelů elektřiny a plynu? Podívejte se, kdo získal v roce 2025 nejvíce odběrných míst. V distribuční oblasti EG.D klesl počet nově připojených fotovoltaik oproti roku 2024. Přinášíme i shrnutí dalšího úspěšného roku na Českomoravské komoditní burze.

Novinka od společnosti ELYN, obchodník snižuje cenu každé čtyři měsíce
V současné době již není prostor pro další snižování nejnižších cen elektřiny a plynu. Proto novinek není mnoho a obchodníci spíše pociťují, že by měli zvyšovat nabídkové ceny pro nové zákazníky, ale kvůli konkurenci si to nemohou dovolit.
Někteří zvyšují ceny tak, že pravidelně aktualizují cenovou nabídku pro zájemce a v případě zvyšování cen na trhu obnovují starší ceníky, u kterých byla dříve skončená nabídka a u kterých je vyšší cena než u novějších nabídek. Nikdo pak nemůže říct, že prodejce zdražuje.
Jiní prodejci vymýšlí, jak ještě inovovat nabídky, aby se nabídka zdála výhodnou a dodavatel by nemusel příliš zlevňovat.
Jednou z takových inovací jsou produkty vytvořené prodejcem ELYN a produktovou řadou E-POWER pro elektřinu a G-POWER pro plyn. Nový produkt je se závazkem na 24 měsíců s tím, že každé čtyři měsíce se snižuje cena, která je při podpisu smlouvy pevně daná. Průměrná cena elektřiny tohoto produktu vychází na 2 405 Kč/MWh, což je nyní jedna z nejlepších na trhu.
Nabídka plynu G-POWER v porovnání s elektřinou není tak atraktivní, jedná se o průměrnou cenu 1 027 Kč/MWh.

Tab. 1: Novinky zveřejněné na stránkách dodavatelů uplynulý týden (červeně – zvýšení ceny proti poslední verzi ceníku)
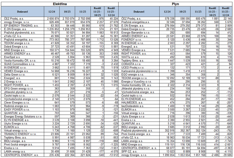
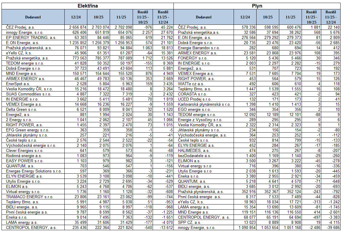
Úspěšní dodavatelé za rok 2025 v růstu počtu odběrných a předávacích míst
Operátor trhu zveřejnil počty odběrných míst elektřiny a plynu podle jednotlivých dodavatelů. Tím pádem mohu sestavit tabulku s čísly za celý rok, tedy od konce prosince 2024 do prosince 2025. Pro aktuální, ale méně vypovídající informaci z hlediska trendu uvádím také v druhé tabulce změny v počtu odběrných míst jednotlivých dodavatelů za prosinec 2025.
Tabulky jsem sestavil podle údajů Operátora trhu s tím, že jsem smazal dodavatele, kteří dodávají v rámci velkých podniků, developerů, lokálních distributorů a také dodavatele, kteří nebyli v této statistice buď v prosinci 2024, nebo 2025 evidováni, buď zanikli, nebo měli méně než sto odběrných míst, které operátor v této statistice neuvádí.
Přehled jsem omezil na dvacet nejvíce úspěšných obchodníků podle počtu získaných přípojek v roce 2025 a také na dvacet nejméně úspěšných dodavatelů. V případě elektřiny největší počet dodavatelů v této statistice má přírůstky nebo ztráty pohybující se kolem nuly. To znamená například to, že ztráty zákazníků obchodník doplnil ziskem nových klientů, ale zisk nových zákazníků nepomohl celkovému růstu prodejce. Druhým, více pravděpodobným důvodem minimálních změn je skutečnost, že dodavatel obsluhuje jen dříve získaná odběrná místa a na zisk nových klientů rezignoval. V případě plynu je počet obchodníků bez změny odběrných míst po vymazání výjimek již minimum, to znamená, že v průběhu roku 2026 již nebudu schopen sestavit tabulku s 20+20 dodavatelů a budu muset počet uváděných obchodníků snížit.
Již delší dobu se ukazuje, že většina velkých silných dodavatelů získává největší počet zákazníků. Obchodníci vylepšili podmínky pro své stávající zákazníky a snaží se nalákat nové velmi vstřícnými cenami. Svojí roli hrají také zkušenosti zákazníků z energetické krize a spoléhají na jistotu.
Většina menších, méně úspěšných dodavatelů, nenabízí stejně atraktivní ceny jako velcí dodavatelé a nemohou si dovolit nákladnou reklamní kampaň. Ani poměry na velkoobchodním trhu malým prodejcům nesvědčí, nabídkové ceny jsou konkurencí stlačeny na nízkou úroveň, pod kterou je těžké se dostat. Ceny měsíčních fixů jsou nyní vyšší než většina cen pro stávající zákazníky a zisk nových předávacích míst pro novou fotovoltaiku se již nezvyšuje o tolik co v minulosti.

Tab. 2.1. Dvacet nejvíce úspěšných a dvacet dodavatelů, kterým se méně dařilo v zisku nových odběrný míst (Zdroj: OTE a.s.), přehled seřazený podle rozdílu prosince 2025 a prosince 2024

Tab. 2.2. Dvacet nejvíce úspěšných a dvacet dodavatelů, kterým se méně dařilo v zisku nových odběrný míst (Zdroj: OTE a.s.), přehled seřazený podle rozdílu prosince a listopadu 2025
I v distribuční oblasti EG.D se loni připojilo méně fotovoltaik
Distribuční společnost EG.D, člen skupiny E.ON, vloni připojila do své sítě celkem 8 214 nových fotovoltaických elektráren o souhrnném výkonu 183,99 MWp. Připojování fotovoltaik sice pokračuje, ale jeho dynamika postupně slábne. Stále více se ukazuje, že energetickou soustavu začínají formovat nové výzvy, zejména rychle rostoucí zájem o bateriová úložiště.
„Po mimořádném boomu před třemi lety aktuálně vidíme spíše návrat k udržitelnějšímu tempu rozvoje fotovoltaiky. Počet nových elektráren klesá, ale jejich výkon zůstává vysoký, což ukazuje na posun k větším a technicky vyspělejším projektům. Z masového trendu se stává standardní součást energetiky a distribuční soustavy. Naší prioritou proto není jen samotné připojování zdrojů, ale také posilování sítí, jejich chytré řízení a příprava na další rozvoj sdílení a akumulace energie,“ vysvětluje Pavel Čada, jednatel EG.D.
Nejvíce instalací v roce 2025 opět přibylo v Jihomoravském kraji, kde EG.D připojila více než tři tisíce nových fotovoltaik s celkovým výkonem zhruba 67,7 MWp. Následovaly jižní Čechy s výkonem téměř 48 MWp a kraj Vysočina s více než 35 MWp. Celkově má nyní EG.D ve své síti připojeno téměř 80 000 fotovoltaických elektráren o instalovaném výkonu blížícím se 2 GWp, přičemž malé domácí FVE do 10 kW tvoří stále nejvýznamnější část všech zdrojů.
Vývoj posledních let ukazuje jasný trend. Po rekordním roce 2023, kdy EG.D připojila přes 27 000 fotovoltaických elektráren o výkonu zhruba 330 MW, následoval v roce 2024 pokles počtu instalací na 13 924, výkonově se však síť přiblížila téměř stejné hodnotě 310 MW. Tato stabilita ve výkonu navzdory klesajícímu počtu zdrojů potvrzuje posun investorů směrem k větším projektům. Stejný trend pokračoval i vloni, kdy se růst nejvýrazněji projevil v segmentech 10 až 100 kW a 100 až 1 000 kW.
Nejvýhodnější nabídky elektřiny a plynu pro nové zákazníky, které doporučuji
V následující tabulce jsou nejvýhodnější nabídky elektřiny a plynu, které jsou určeny ke sjednání novými zákazníky. To znamená pro ty zákazníky, kteří přejdou od jiného dodavatele a uzavřou s novým dodavatelem smlouvu. Jedná se o výběr jen těch nabídek, které jsou od seriózních obchodníků z mnoha, které máme v Kalkulátoru cen energií TZB-info. Pořadí nabídek je podle celkových nákladů na energie za rok včetně roční výše bonusů. Takovýto přehled nenajdete ve srovnávačích, protože bonusy u dodavatelů si obchodníci stanovují různě a nelze je snadno jednotně zapsat. Také bych chtěl připomenout, že ceny elektřiny i plynu na velkoobchodních trzích v tomto období rostou a obchodníci již rozhodně hromadně nezlevňují, proto neváhejte a vyberte si.
Dalším užitkem následující tabulky je rychlá orientace v cenách elektřiny nebo plynu za účelem sjednání lepší ceny u stávajících dodavatelů.

Tab. 3: Nejvýhodnější nabídky pro dodávku elektřiny a plynu za poslední týden pro nové zákazníky, které doporučuji
Další úspěšný rok na Českomoravské komoditní burze
Na energetickém trhu Českomoravské komoditní burzy Kladno objem dodávek elektřiny a zemního plynu pro konečné zákazníky v roce 2025 už potřetí překročil 7 a půl milionu kilowatthodin. Navíc počet burzovních kontraktů, uzavřených za dobu existence energetického trhu (od roku 2009), loni přesáhl 100 tisíc.
Trh Energetické burzy Českomoravské komoditní burzy Kladno (ČMKB) v loňském roce znovu potvrdil pozici největšího burzovního trhu v České republice pro nákup elektřiny a zemního plynu konečnými odběrateli. V 8 242 burzovních kontraktech bylo kontrahováno 7,65 milionu megawatthodin (MWh) elektřiny a plynu v hodnotě téměř 12 miliard Kč. Celkový objem dodávek energií za dobu existence tohoto burzovního trhu se vyšplhal na téměř 90 TWh a celkový finanční objem přesáhl 115 miliard korun.
„Energetický trh ČMKB dosáhl prakticky shodného výsledku objemu zobchodovaných energií jako v loňském roce, kdy byl historicky nejlepší. Zkušenost z turbulentních let 2021 a 2022 burza promítla do modernizace obchodního systému a posílení elektronické bezpečnosti, takže kontraktace energií na ČMKB je nejen cenově nejefektivnější, ale je ještě rychlejší, jednodušší a bezpečnější“, uvedl generální sekretář ČMKB Miroslav Hájek.
Obchody s dodávkou zemního plynu dosáhly v loňském roce objemu 4,114 milionu MWh, obchody s dodávkou silové elektřiny 3,544 milionu MWh. Ve finančním vyjádření připadalo na zemní plyn 3,558 miliardy korun a na silovou elektřinu 8,401 miliardy Kč. Nákupy energií s dodávkou na jeden rok tvořily 47 % všech uzavřených kontraktů, 53 % burzovních obchodů bylo uzavřeno na víceleté (nejčastěji dvouleté) období dodávky.
Obchodování energií probíhalo průběžně po celý rok 2025. V lednu a únoru bylo uzavřeno ale minimum kontraktů, z důvodu náhlého nárůstu cen zemního plynu a elektřiny. Významný objem obchodů (1,6 TWh) účastníci zobchodovali v průběhu měsíců března a dubna, kdy byly naopak ceny s dodávkou na roky 2026 a 2027, na nejnižších hodnotách. Cena ročního kontraktu elektřiny na rok 2026 v tomto období pokořila hranici 2 300 Kč/MWh. V průběhu května došlo ke krátkodobému nárůstu cen, takže následného poklesu, zejména u zemního plynu, využila v průběhu června až srpna většina odběratelů k uzavření burzovních obchodů v objemu skoro 3,4 TWh. Ve zbývajících měsících roku 2025 docházelo k pozvolnému cenovému poklesu u plynu a obchodující si sesmluvnili dalších 1,7 TWh. Cena dvouletého plynového kontraktu na období dodávky 2026 až 27 v závěru roku atakovala hladinu 700 Kč/MWh.
„O kvalitě trhu Energetické burzy ČMKB svědčí stále se rozšiřující počet kupujících. Vedle zvyšujícího se podílu firemního sektoru (průmyslové firmy, dopravní podniky, teplárny, vodárny, lesnické společnosti nebo zemědělské podniky) využily energetickou burzu ČMKB v roce 2025 k nákupu energií rezorty téměř všech ministerstev, většina krajů, stovky státních úřadů a organizací a také téměř 1 000 měst a obcí,“ uzavřel Miroslav Hájek.

Tab. 4: Přehled cen na burzách v ČR i s vývojem za poslední týden
